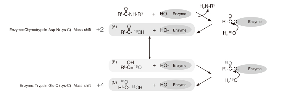
定量プロテオミクスにおいてトリプシン消化による18Oの導入は、タンパク質の安定同位体標識を目的とした重要な技術です。Water-18Oの加水分解により、タンパク質分解物のC末端に二つの18O原子を導入します。天然の16O標識ペプチド断片と18O標識ペプチド断片を混合し、質量分析(MS)にて、それぞれに由来する16O/18Oピークの強度比を測定することでタンパク質を定量します。この技術は、薬理学やガン研究の分野でタンパク質発現量の変動を測定する方法として広く利用されています。日本酸素は、高品質の加水分解用18O標識試薬「Water-18O」をご提供いたします。
| 試験項目 | 単位 | 規格値 | 試験方法 |
|---|---|---|---|
| 18O | atom% | ≥98 | 電気分解-質量分析計 |
| 17O | atom% | <2 | 電気分解-質量分析計 |
| 16O | atom% | <2 | 電気分解-質量分析計 |
| 外観検査 | - | 無色透明、異物を認めない | 目視 |
| 化学純度 | % | >99.99 | * |
| Na | mg/L | <2 | ICP質量分析計 |
| Mg | mg/L | <1 | ICP質量分析計 |
| K | mg/L | <1 | ICP質量分析計 |
| Ca | mg/L | <1 | ICP質量分析計 |
| Fe | mg/L | <0.1 | ICP質量分析計 |
| Cu | mg/L | <1 | ICP質量分析計 |
| Zn | mg/L | <1 | ICP質量分析計 |
| NH4+ | mg/L | <1 | イオンクロマトグラフ |
| F- | mg/L | <1 | イオンクロマトグラフ |
| Cl- | mg/L | <1 | イオンクロマトグラフ |
| Br- | mg/L | <1 | イオンクロマトグラフ |
| NO3- | mg/L | <1 | イオンクロマトグラフ |
| PO43- | mg/L | <1 | イオンクロマトグラフ |
| SO42- | mg/L | <1 | イオンクロマトグラフ |
| I- | mg/L | <1 | イオンクロマトグラフ |
| TOC(全有機体炭素) | mg/L | <5 | TOC計 |
| 電気伝導度 | mS/m | <0.3 | 導電率計 |
| pH | - | 5.5-8.0 | pHメーター |
| 生菌数 | cfu/mL | <1 | メンブレンフィルター法 |
| パイロジェン | EU/mL | <0.25 | LALテスト |
イノベーションユニット
SI事業部
045-872-1823
※月~金曜日
9:00~17:40
045-872-1825
Isotope.TNS@jp.nipponsanso.com
〒220-8561
神奈川県
横浜市西区
みなとみらい4-6-2
みなとみらい
グランドセントラルタワー 7F
日本酸素㈱
みなとみらい事業所内
高圧ガス販売事業(第1種、第2種)
毒物劇物一般販売業 / 毒物劇物輸入業
Copyright © 2021. NIPPON SANSO Corporation. All Rights Reserved.