quick-lang quick-lang
quick-google quick-google
quick-lang quick-lang
quick-google quick-google

Reactivo marcador de 18O “Water-18O”

BiomolecularMS

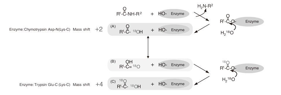
Las proteasas (por ejemplo, la tripsina) en Water-18O catalizan el intercambio de 16O/18O en el grupo carboxilo de terminal C de péptidos proteolíticos, lo que da como resultado un cambio de masa 4 Da entre los iones de péptido marcados y no marcados observados en espectrometría de masa (MS, por sus siglas en inglés).
Esta técnica se ha aplicado a un método de cuantificación absoluta de proteínas en el campo de descubrimiento de fármacos y ciencias biológicas.
NIPPON SANSO proporciona un reactivo marcador de 18O hidrolizante de alta calidad, “Water-18O”.

h2_18O
Test Unit Specification Method
Oxygen-18O atom% ≥98(F03-0027)
≥99(F05-0031)
MS
Oxygen-17O atom% <2 MS
Oxygen-16O atom% <2 MS
Appearance - Clear, Colorless No visible object Visual check
Chemical Purity % >99.99 *
Na mg/L <2 ICP-MS
Mg mg/L <1 ICP-MS
K mg/L <1 ICP-MS
Ca mg/L <1 ICP-MS
Fe mg/L <0.1 ICP-MS
Cu mg/L <1 ICP-MS
Zn mg/L <1 ICP-MS
NH4+ mg/L <1 IC
F- mg/L <1 IC
Cl- mg/L <1 IC
Br- mg/L <1 IC
NO3- mg/L <1 IC
PO43- mg/L <1 IC
SO42- mg/L <1 IC
I- mg/L <1 IC
Total Oganic Cabon mg/L <5 TOC analyxer
Conductivity mS/m <0.3 Comductivity meter
pH 5.5-8.0 pH meter
Microbial limit cfu/mL <1 Membrane filter
Pyrogenicity EU/mL <0.25 LAL

Oxygen-18O Labeling

NIPPON SANSO suministra componentes básicos para marcar el Oxygen-18O y ofrece un servicio de síntesis personalizado de compuestos de 18O que no están disponibles comercialmente.

La espectrometría de masa con el marcador 18O tiene ventajas sobre los marcadores convencionales D, 13C y 15N.

Fig. Chromatogram and mass spectrum of 18O labeled and non-18O labeled compounds

Al usar el reactivo de introducción de 18O, cualquier compuesto puede ser marcado con 18O.

PRODUCT No. : A101-0138

PRODUCT : Benzyl Alcohol-18O 98atom% 18O

PRODUCT No. : A99-0136

PRODUCT : N,N-Dimethylformamide-18O 95atom% 18O

PRODUCT No. : A102-0139

PRODUCT : Ethoxycarbonylmethyl(triphenyl)phosphonium-18O Bromide 98atom% 18O

PRODUCT No. : A100-0137

PRODUCT : 2-Amino-5-phenyl-1,3.5-Oxadiazole-18O 95atom% 18O

PRODUCT No. : A106-0143

PRODUCT : Dirthyl Carbonate-18O 98atom% 18O

PRODUCT No. : A104-0141

PRODUCT : Uracil-18O2 95atom% 18O

PRODUCT No. : A105-0142

PRODUCT : 5-Fluorouracil-18O2 95atom% 18O

pct_012_d

NIPPON SANSO
Corporation.


+81-4-5872-1823
※Mon to Fri
9:00~17:40(JST)


+81-4-5872-1825

Isotope.TNS@jp.nipponsanso.com

Minato Mirai Grand Central Tower 7F
4-6-2, Minatomirai, Nishi-ku, Yokohama,
Kanagawa 220-8561, Japan

NIPPON SANSO's Solution as a Leading Oxygen Manufacture

Copyright © 2018.
NIPPON SANSO Corporation.
All Rights Reserved.