quick-lang quick-lang
quick-google quick-google
quick-lang quick-lang
quick-google quick-google

18O reagente de rotulagem “Water-18O”

BiomolecularMS

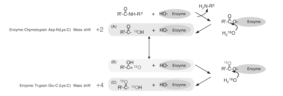
As proteases (por exemplo, tripsina) em Water-18O catalizar 16O/18O troca no grupo carboxilo C-terminal de peptídios proteolíticos resultantes no deslocamento de massa de 4 Da entre íons peptídicos marcados e não marcados observados em espectrometria de massa (MS).
Esta técnica foi aplicada para um método de quantificação absoluta de proteínas nos campos de descoberta de drogas e ciências da vida.
NIPPON SANSO fornece hidrolisado de alta qualidade 18O reagente de rotulagem “Water-18O”.

h2_18O
Test Unit Specification Method
Oxygen-18O atom% ≥98(F03-0027)
≥99(F05-0031)
MS
Oxygen-17O atom% <2 MS
Oxygen-16O atom% <2 MS
Appearance - Clear, Colorless No visible object Visual check
Chemical Purity % >99.99 *
Na mg/L <2 ICP-MS
Mg mg/L <1 ICP-MS
K mg/L <1 ICP-MS
Ca mg/L <1 ICP-MS
Fe mg/L <0.1 ICP-MS
Cu mg/L <1 ICP-MS
Zn mg/L <1 ICP-MS
NH4+ mg/L <1 IC
F- mg/L <1 IC
Cl- mg/L <1 IC
Br- mg/L <1 IC
NO3- mg/L <1 IC
PO43- mg/L <1 IC
SO42- mg/L <1 IC
I- mg/L <1 IC
Total Oganic Cabon mg/L <5 TOC analyxer
Conductivity mS/m <0.3 Comductivity meter
pH 5.5-8.0 pH meter
Microbial limit cfu/mL <1 Membrane filter
Pyrogenicity EU/mL <0.25 LAL

Oxygen-18O Labeling

NIPPON SANSO fornece blocos de construção para o Oxygen-18O rotulagem e oferece um serviço de síntese personalizada de 18O-compostos que não estão disponíveis comercialmente.

Espectrometria de massa 18O-rotulagem tem vantagens em relação à rotulagem D, 13C e 15N convencional.

Fig. Chromatogram and mass spectrum of 18O labeled and non-18O labeled compounds

Usando 18O reagente de introdução, qualquer composto pode ser marcado com 18O.

PRODUCT No. : A101-0138

PRODUCT : Benzyl Alcohol-18O 98atom% 18O

PRODUCT No. : A99-0136

PRODUCT : N,N-Dimethylformamide-18O 95atom% 18O

PRODUCT No. : A102-0139

PRODUCT : Ethoxycarbonylmethyl(triphenyl)phosphonium-18O Bromide 98atom% 18O

PRODUCT No. : A100-0137

PRODUCT : 2-Amino-5-phenyl-1,3.5-Oxadiazole-18O 95atom% 18O

PRODUCT No. : A106-0143

PRODUCT : Dirthyl Carbonate-18O 98atom% 18O

PRODUCT No. : A104-0141

PRODUCT : Uracil-18O2 95atom% 18O

PRODUCT No. : A105-0142

PRODUCT : 5-Fluorouracil-18O2 95atom% 18O

pct_012_d

NIPPON SANSO
Corporation.


+81-4-5872-1823
※Mon to Fri
9:00~17:40(JST)


+81-4-5872-1825

Isotope.TNS@jp.nipponsanso.com

Minato Mirai Grand Central Tower 7F
4-6-2, Minatomirai, Nishi-ku, Yokohama,
Kanagawa 220-8561, Japan

NIPPON SANSO's Solution as a Leading Oxygen Manufacture

Copyright © 2018.
NIPPON SANSO Corporation.
All Rights Reserved.